
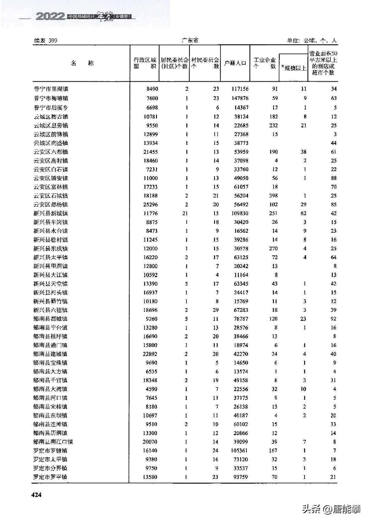
云浮市云城区、云安区、新兴县、郁南县、罗定市一共有55个乡镇。作者多年来已多次发布过相关县市、乡镇人口、土地、经济相关文章,现在进行年度更新,与2020数据进行对比性回顾。
一、户籍人口、3年增减下表中第4列为截止2022年底的户籍人口数,第5列为相比2019年底的人口增加(黑体字)和减少(红体字、负数)数目。
区县
乡镇
2022人口
增减
1
新兴县
新城镇
109830
3595
2
罗定市
罗镜镇
105361
352
3
罗定市
罗平镇
93759
682
4
罗定市
船步镇
88568
638
5
罗定市
泗纶镇
82689
11
6
郁南县
都城镇
78787
-6272
7
罗定市
太平镇
73120
750
8
新兴县
六祖镇
67283
-376
9
新兴县
天堂镇
63345
-2449
10
新兴县
太平镇
63125
-209
11
罗定市
连州镇
61381
226
12
云安区
富林镇
61057
1172
13
罗定市
黎少镇
60562
-213
14
郁南县
连滩镇
60102
-1980
15
云安区
都杨镇
56492
336
16
云安区
石城镇
56204
782
17
云安区
六都镇
53959
41
18
罗定市
榃滨镇
52966
-3
19
罗定市
满塘镇
50420
835
20
郁南县
千官镇
49158
151
21
云安区
镇安镇
49050
441
22
罗定市
围底镇
48383
672
23
罗定市
苹塘镇
45243
188
24
郁南县
建城镇
42270
-570
25
罗定市
生江镇
41942
-166
26
郁南县
东坝镇
40187
-3564
27
新兴县
稔村镇
39286
-225
28
郁南县
南江镇
39099
-394
29
云城区
南盛镇
38773
182
30
郁南县
桂圩镇
38466
-252
31
云城区
腰古镇
38124
3224
32
罗定市
金鸡镇
37744
489
33
罗定市
华石镇
37561
36
34
郁南县
河口镇
37175
2741
35
云安区
高村镇
37098
149
36
罗定市
龙湾镇
35663
-201
37
云安区
白石镇
33760
32
38
罗定市
分界镇
33537
-110
39
新兴县
东成镇
30578
117
40
新兴县
车岗镇
30420
-206
41
罗定市
加益镇
28939
-171
42
郁南县
平台镇
28576
-86
43
云城区
前锋镇
27368
-263
44
郁南县
宋桂镇
26138
-223
45
新兴县
河头镇
24417
-496
46
云城区
思劳镇
22685
516
47
郁南县
大湾镇
22556
-204
48
郁南县
历洞镇
20866
-584
49
新兴县
里洞镇
20242
-32
50
郁南县
通门镇
18974
-88
51
新兴县
水台镇
16562
307
52
新兴县
簕竹镇
15769
-432
53
郁南县
宝珠镇
14650
-491
54
郁南县
大方镇
13574
565
55
新兴县
大江镇
11164
-178

3年来,28个乡镇人口减少(表中红字、负数),27个乡镇人口增加。55个乡镇总共减少1200余人。这是3年累计的结果,平均每年变化很少,平均每个乡镇基本不变。相比于总共247万乡镇人口来说,平均每年保持稳定。
目前,新兴县新城镇高达11万人,为第一大镇。罗定市罗镜镇10.5万人,位居第二。罗定市罗平镇9.4万人,也达到了全国1000大镇的入围标准。新城镇是城关镇,罗镜镇和罗平镇都只是普通镇,市区由罗城街道、素龙街道、附城街道、双东街道组成。

人口密度的单位是每平方公里人数,1平方公里=100公顷=1500亩。
区县
乡镇
人口密度
人均亩数
1
新兴县
新城镇
933
1.6
2
郁南县
都城镇
851
1.8
3
罗定市
太平镇
780
1.9
4
罗定市
围底镇
732
2.0
5
罗定市
罗平镇
690
2.2
6
罗定市
船步镇
686
2.2
7
罗定市
生江镇
676
2.2
8
罗定市
罗镜镇
653
2.3
9
郁南县
连滩镇
632
2.4
10
罗定市
华石镇
601
2.5
11
罗定市
满塘镇
600
2.5
12
罗定市
苹塘镇
512
2.9
13
郁南县
大湾镇
491
3.1
14
罗定市
连州镇
489
3.1
15
郁南县
河口镇
486
3.1
16
新兴县
天堂镇
473
3.2
17
云安区
白石镇
467
3.2
18
罗定市
黎少镇
451
3.3
19
云安区
镇安镇
446
3.4
20
罗定市
金鸡镇
438
3.4
21
新兴县
太平镇
408
3.7
22
郁南县
东坝镇
376
4.0
23
罗定市
加益镇
365
4.1
24
新兴县
六祖镇
360
4.2
25
云安区
富林镇
354
4.2
26
罗定市
泗纶镇
354
4.2
27
云城区
腰古镇
354
4.2
28
新兴县
稔村镇
349
4.3
29
罗定市
分界镇
344
4.4
30
罗定市
榃滨镇
344
4.4
31
新兴县
车岗镇
332
4.5
32
郁南县
宋桂镇
320
4.7
33
云安区
石城镇
309
4.9
34
罗定市
龙湾镇
283
5.3
35
云城区
南盛镇
278
5.4
36
郁南县
千官镇
268
5.6
37
新兴县
东成镇
255
5.9
38
云安区
六都镇
251
6.0
39
云城区
思劳镇
238
6.3
40
郁南县
桂圩镇
230
6.5
41
云安区
都杨镇
223
6.7
42
郁南县
平台镇
217
6.9
43
云城区
前锋镇
212
7.1
44
郁南县
大方镇
209
7.2
45
云安区
高村镇
201
7.5
46
新兴县
水台镇
195
7.7
47
郁南县
南江镇
195
7.7
48
郁南县
建城镇
190
7.9
49
新兴县
里洞镇
158
9.5
50
郁南县
历洞镇
157
9.6
51
新兴县
簕竹镇
155
9.7
52
郁南县
宝珠镇
151
9.9
53
新兴县
河头镇
144
10.4
54
郁南县
通门镇
120
12.5
55
新兴县
大江镇
108
13.8
人口密度列:新兴县新城镇933人每平方公里,最为密集。郁南县都城镇851人每平方公里,位居第二。其余乡镇都低于800人每平方公里,所有乡镇平均密度380人每平方公里。假设笔者这栋25层2单元2梯5户的大楼每户住2人的话(有的住3-4人,但也有空置率),可以住25*2*5*2=500人。1000人每平方公里相当于全镇平均每平方公里有2栋这样的大楼。
人均土地列:人均土地与人口密度成反比关系。总面积包含山水林田湖草沙等,扣除道路广场市政等公摊面积才是私人的土地。我国耕地占全部土地约14%,常说的18亿亩红线=120万平方公里占全部土地12.5%。

下面是各乡镇工业情况,人口、厂店数据可以作为当地开厂开店、工作求职的参考。
区县
乡镇
工业
规上
1
云安区
石城镇
398
1
2
新兴县
东成镇
270
4
3
新兴县
新城镇
251
62
4
云城区
思劳镇
232
21
5
云安区
六都镇
190
38
6
云城区
腰古镇
182
8
7
罗定市
罗镜镇
167
1
8
郁南县
都城镇
120
23
9
云安区
都杨镇
102
29
10
新兴县
太平镇
72
4
11
罗定市
罗平镇
70
1
12
罗定市
榃滨镇
61
6
13
云安区
镇安镇
56
1
14
罗定市
金鸡镇
53
8
15
罗定市
苹塘镇
44
5
16
新兴县
天堂镇
43
1
17
罗定市
泗纶镇
40
1
18
郁南县
南江镇
39
7
19
罗定市
太平镇
32
3
20
郁南县
大湾镇
32
10
21
罗定市
围底镇
30
5
22
罗定市
船步镇
26
1
23
新兴县
车岗镇
26
3
24
郁南县
建城镇
24
4
25
罗定市
满塘镇
20
2
26
罗定市
生江镇
18
0
27
新兴县
六祖镇
18
3
28
云安区
富林镇
18
0
29
罗定市
华石镇
16
5
30
郁南县
连滩镇
15
0
31
罗定市
分界镇
15
1
32
云城区
前锋镇
15
0
33
新兴县
稔村镇
14
8
34
新兴县
水台镇
14
9
35
新兴县
河头镇
14
1
36
郁南县
宋桂镇
13
2
37
郁南县
桂圩镇
13
0
38
新兴县
里洞镇
13
0
39
云安区
白石镇
12
1
40
郁南县
历洞镇
12
0
41
新兴县
簕竹镇
11
3
42
郁南县
河口镇
9
1
43
罗定市
黎少镇
9
2
44
郁南县
千官镇
8
3
45
郁南县
平台镇
8
1
46
新兴县
大江镇
8
0
47
郁南县
宝珠镇
6
1
48
郁南县
通门镇
6
1
49
罗定市
加益镇
5
1
50
郁南县
东坝镇
4
2
51
云安区
高村镇
4
2
52
罗定市
连州镇
3
0
53
罗定市
龙湾镇
2
1
54
郁南县
大方镇
1
1
55
云城区
南盛镇
0
0
云安区石城镇、新兴县东成镇、新兴县新城镇工业企业最多,说明营商环境优,工业基础好。上规模大工业企业方面,另有云城区思劳镇、云安区六都镇、郁南县都城镇、云安区都杨镇排名靠前,工业实力强。近3年来,17个乡镇规上工业增加,15个乡镇规上工业减少,其余乡镇不变,总共增加19家,其中新城镇增加最多,工业发展最快,都城镇减少最多,拖了后腿。






