
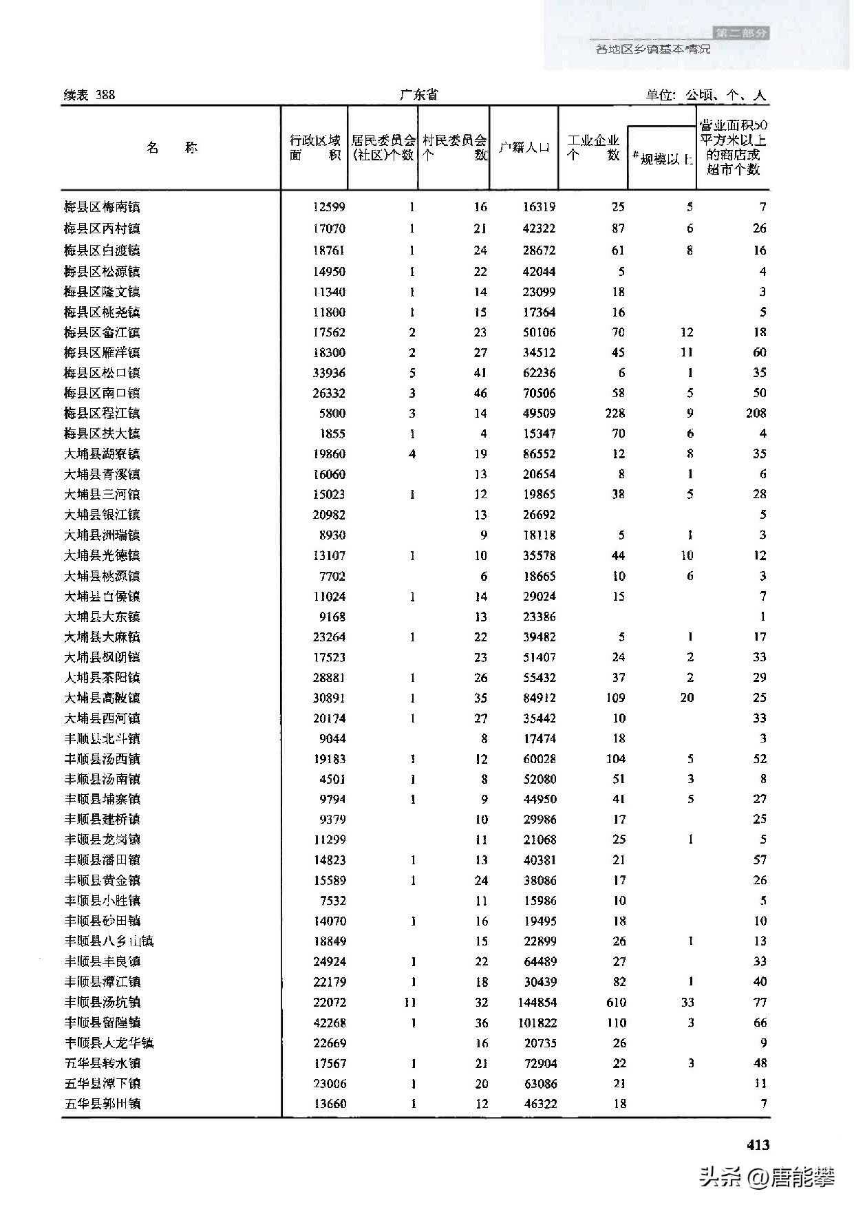
梅州市梅江区、梅县区、大埔县、丰顺县一共有52个乡镇。作者多年来已多次发布过相关县市、乡镇人口、土地、经济相关文章,现在进行年度更新,与2020数据进行对比性回顾。
一、户籍人口、3年增减区县
乡镇
2022人口
增减
1
丰顺县
汤坑镇
144854
-1851
2
丰顺县
留隍镇
101822
-1075
3
大埔县
湖寮镇
86552
-6885
4
大埔县
高陂镇
84912
-2758
5
梅县区
南口镇
70506
-206
6
丰顺县
丰良镇
64489
-3660
7
梅县区
松口镇
62236
-2575
8
丰顺县
汤西镇
60028
1875
9
大埔县
茶阳镇
55432
-187
10
梅江区
城北镇
53945
-1618
11
梅江区
三角镇
52788
9309
12
丰顺县
汤南镇
52080
-539
13
大埔县
枫朗镇
51407
-1987
14
梅县区
畲江镇
50106
888
15
梅县区
程江镇
49509
1837
16
丰顺县
埔寨镇
44950
-740
17
梅县区
丙村镇
42322
-4187
18
梅县区
松源镇
42044
-59
19
丰顺县
潘田镇
40381
-137
20
大埔县
大麻镇
39482
864
21
丰顺县
黄金镇
38086
171
22
梅江区
西阳镇
36277
-206
23
大埔县
光德镇
35578
-23
24
大埔县
西河镇
35442
-727
25
梅县区
雁洋镇
34512
380
26
梅县区
梅西镇
30897
-64
27
丰顺县
潭江镇
30439
-1282
28
丰顺县
建桥镇
29986
-821
29
大埔县
百侯镇
29024
-993
30
梅县区
白渡镇
28672
97
31
梅县区
石坑镇
27587
513
32
大埔县
银江镇
26692
-1316
33
大埔县
大东镇
23386
346
34
梅县区
水车镇
23116
81
35
梅县区
隆文镇
23099
-435
36
丰顺县
八乡山镇
22899
1473
37
梅县区
石扇镇
21369
-84
38
梅县区
城东镇
21139
-8
39
丰顺县
龙岗镇
21068
-589
40
丰顺县
大龙华镇
20735
-715
41
大埔县
青溪镇
20654
-390
42
梅县区
大坪镇
20065
845
43
大埔县
三河镇
19865
-774
44
丰顺县
砂田镇
19495
404
45
大埔县
桃源镇
18665
-1193
46
大埔县
洲瑞镇
18118
-834
47
丰顺县
北斗镇
17474
37
48
梅县区
桃尧镇
17364
-1483
49
梅县区
梅南镇
16319
55
50
丰顺县
小胜镇
15986
-114
51
梅县区
扶大镇
15347
2536
52
梅江区
长沙镇
12446
-475

3年来,35个乡镇人口减少(表中红字、负数),17个乡镇人口增加。52个乡镇总共减少1.9万人。这是3年累计的结果,平均每年减少6千多,平均每个乡镇减少一百多。相比于总共202万乡镇人口来说,平均每年减少0.3%。
目前,丰顺县汤坑镇高达14.5万人,为第一大镇。这是城关镇,附近还有汤西镇、汤南镇等卫星镇。丰顺县留隍镇10.2万人,位居第二,也入围了本年度的全国1000大镇。大埔县湖寮镇8.7万人,位居第三。

人口密度的单位是每平方公里人数,1平方公里=100公顷=1500亩。
区县
乡镇
人口密度
人均亩数
1
梅江区
三角镇
1354
1.1
2
丰顺县
汤南镇
1157
1.3
3
梅县区
程江镇
854
1.8
4
梅县区
扶大镇
827
1.8
5
丰顺县
汤坑镇
656
2.3
6
丰顺县
埔寨镇
460
3.3
7
梅江区
城北镇
450
3.3
8
大埔县
湖寮镇
436
3.4
9
梅县区
梅西镇
334
4.5
10
丰顺县
建桥镇
319
4.7
11
梅县区
石坑镇
316
4.7
12
丰顺县
汤西镇
305
4.9
13
大埔县
枫朗镇
293
5.1
14
梅县区
畲江镇
284
5.3
15
梅县区
松源镇
281
5.3
16
丰顺县
潘田镇
277
5.4
17
大埔县
高陂镇
275
5.5
18
大埔县
光德镇
271
5.5
19
梅县区
南口镇
268
5.6
20
梅县区
城东镇
267
5.6
21
大埔县
百侯镇
263
5.7
22
梅县区
大坪镇
262
5.7
23
丰顺县
丰良镇
258
5.8
24
大埔县
大东镇
255
5.9
25
梅县区
丙村镇
248
6.1
26
丰顺县
黄金镇
244
6.1
27
大埔县
桃源镇
242
6.2
28
丰顺县
留隍镇
238
6.3
29
梅县区
石扇镇
235
6.4
30
丰顺县
小胜镇
211
7.1
31
梅县区
隆文镇
204
7.4
32
大埔县
洲瑞镇
203
7.4
33
丰顺县
北斗镇
194
7.8
34
大埔县
茶阳镇
192
7.8
35
梅县区
松口镇
190
7.9
36
梅县区
雁洋镇
189
8.0
37
梅县区
水车镇
188
8.0
38
丰顺县
龙岗镇
186
8.0
39
大埔县
西河镇
176
8.5
40
大埔县
大麻镇
170
8.8
41
梅县区
白渡镇
153
9.8
42
梅县区
桃尧镇
147
10.2
43
丰顺县
潭江镇
140
10.7
44
丰顺县
砂田镇
133
11.3
45
梅江区
西阳镇
133
11.3
46
大埔县
三河镇
132
11.3
47
梅江区
长沙镇
131
11.4
48
大埔县
青溪镇
129
11.7
49
大埔县
银江镇
127
11.8
50
丰顺县
八乡山镇
118
12.7
51
梅县区
梅南镇
112
13.4
52
丰顺县
大龙华镇
91
16.4
人口密度列:梅江区三角镇1354人每平方公里,最为密集。丰顺县汤南镇1157人每平方公里,位居第二。其余乡镇都低于1000人每平方公里,所有乡镇平均密度为300人每平方公里,具有丘陵和低山地区特征。假设笔者这栋25层2单元2梯5户的大楼每户住2人的话(有的住3-4人,但也有空置率),可以住25*2*5*2=500人。1000人每平方公里相当于全镇平均每平方公里有2栋这样的大楼。
人均土地列:人均土地与人口密度成反比关系。总面积包含山水林田湖草沙等,扣除道路广场市政等公摊面积才是私人的土地。我国耕地占全部土地约14%,常说的18亿亩红线=120万平方公里占全部土地12.5%。

下面是各乡镇工业情况,人口、厂店数据可以作为当地开厂开店、工作求职的参考。
区县
乡镇
工业
规上
1
丰顺县
汤坑镇
610
33
2
梅县区
程江镇
228
9
3
丰顺县
留隍镇
110
3
4
大埔县
高陂镇
109
20
5
丰顺县
汤西镇
104
5
6
梅江区
三角镇
102
34
7
梅县区
丙村镇
87
6
8
丰顺县
潭江镇
82
1
9
梅县区
城东镇
76
10
10
梅江区
西阳镇
73
15
11
梅县区
扶大镇
70
6
12
梅县区
畲江镇
70
12
13
梅县区
白渡镇
61
8
14
梅县区
南口镇
58
5
15
丰顺县
汤南镇
51
3
16
梅县区
雁洋镇
45
11
17
大埔县
光德镇
44
10
18
丰顺县
埔寨镇
41
5
19
大埔县
三河镇
38
5
20
大埔县
茶阳镇
37
2
21
丰顺县
丰良镇
27
0
22
丰顺县
八乡山镇
26
1
23
丰顺县
大龙华镇
26
0
24
丰顺县
龙岗镇
25
1
25
梅县区
梅南镇
25
5
26
大埔县
枫朗镇
24
2
27
梅县区
梅西镇
22
3
28
丰顺县
潘田镇
21
0
29
梅县区
隆文镇
18
0
30
丰顺县
北斗镇
18
0
31
丰顺县
砂田镇
18
0
32
丰顺县
建桥镇
17
0
33
丰顺县
黄金镇
17
0
34
梅县区
桃尧镇
16
0
35
大埔县
百侯镇
15
0
36
梅县区
石扇镇
14
3
37
大埔县
湖寮镇
12
8
38
大埔县
桃源镇
10
6
39
丰顺县
小胜镇
10
0
40
梅县区
水车镇
10
1
41
大埔县
西河镇
10
0
42
大埔县
青溪镇
8
1
43
梅县区
松口镇
6
1
44
梅县区
松源镇
5
0
45
大埔县
洲瑞镇
5
1
46
大埔县
大麻镇
5
1
47
梅江区
城北镇
4
3
48
梅县区
大坪镇
3
0
49
梅县区
石坑镇
0
0
50
大埔县
大东镇
0
0
51
梅江区
长沙镇
0
0
52
大埔县
银江镇
0
0
丰顺县汤坑镇、梅县区程江镇、丰顺县留隍镇工业企业最多,说明营商环境优,工业基础好。上规模大工业企业方面,另有大埔县高陂镇、丰顺县汤西镇、梅江区三角镇排名靠前,工业实力强。近3年来,11个乡镇规上工业增加,9个乡镇规上工业减少,其余乡镇不变,总共增加25家上规模工业企业,其中三角镇增加最多,工业发展最快,光德镇减少最多,拖了后腿。
